Умные люди из Кембриджского университета провели исследование, в рамках которого изучали способность человеческого глаза видеть разное разрешение дисплея, а суть его заключалась в нахождении предела, после которого глаза не могли заметить разницу. Как оказалось, такое значение действительно есть.

В ходе эксперимента учёные просили простых людей обнаруживать особенности в цветных изображениях и оттенках серого, независимо от того, смотрели ли они на экран прямо или периферийным зрением, а также на разном расстоянии. На основании полученных данных они создали универсальный калькулятор, показывающий, сможет ли среднестатистический человек увидеть разницу между разными разрешениями при определённой диагонали и расстоянии.

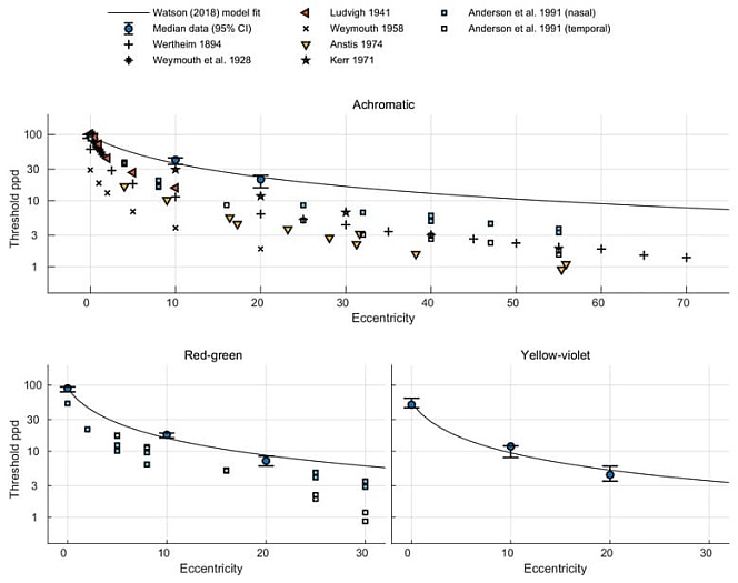
Интересно, что человеческий глаз куда лучше работает с оттенками серого, нежели с цветным изображением: среднее значение количества пикселей на градус (PPD) достигло 94 в случае серого, 89 для красного и зелёного, а также 53 для жёлтого и фиолетового.

Результаты показывают, что абсолютное большинство людей не видит разницы между разрешениями 1440p и 2160p при диагонали 44” и расстоянии 2.5 метра. Более того, увеличение разрешения до 8K, которое очень высокое даже по современным меркам, всё равно не даёт никакого преимущества в качестве изображения и лишь напрасно повышает нагрузку на железо.